Another way to increase profitability in feed mills: Detection of air leaks

Another way to increase profitability in feed mills: Detection of air leaks

Another way to increase profitability in feed mills: Detection of air leaks

Leaks can be a significant source of wasted energy in an industrial compressed air system, sometimes wasting 20-30% of a compressor’s output. A typical plant that has not been well maintained will likely have a leak rate equal to 20% of total compressed air production capacity.

On the other hand, proactive leak detection and repair can reduce leaks to less than 10% of compressor output. In addition to being a source of wasted energy, leaks can also contribute to other operating losses. Leaks cause a drop in system pressure, which can make air tools function less efficiently, adversely affecting production. In addition, by forcing the equipment to cycle more frequently, leaks shorten the life of almost all system equipment (including the compressor package itself)

 

Increased running time can also lead to additional maintenance requirements and increased unscheduled downtime. Finally, leaks can lead to adding unnecessary compressor capacity.

 

While leakage can come from any part of the system, the most common problem areas are:
Couplings, hoses, tubes, and fittings,

Pressure regulators,

Open condensate traps and shutoff valves,

Pipe joints, disconnects, and thread sealants.



 

Estimating Amount of Leakage

 

For compressors that use start/stop controls, there is an easy way to estimate the amount of leakage in the system. This method involves starting the compressor when there are no demands on the system (when all the airoperated end-use equipment is turned off).

A number of measurements are taken to determine the average time it takes to load and unload the compressor. The compressor will load and unload because the air leaks will cause the compressor to cycle on and off as the pressure drops from air escaping through the leaks.

Total leakage (percentage) can be calculated as follow:

Leakage%= [Tx100/(T+t)]

Where;

T = on-load time (minutes)

t = off-load time (minutes)

 

 

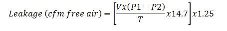
Leakage will be expressed in terms of the percentage of compressor capacity lost. The percentage lost to leakage should be less than 10% in a well-maintained system. Poorly maintained systems can have losses as high as 20-30% of air capacity and power. Leakage can be estimated in systems with other control strategies if there is a pressure gauge downstream of the receiver. This method requires an estimate of total system volume, including any downstream secondary air receivers, air mains, and piping (V, in cubic feet).The system is then started and brought to the normal operating pressure (P1). Measurements should then be taken of the time (T) it takes for the system to drop to a lower pressure (P2), which should be a point equal to about one-half the operating pressure.

Leakage can be calculated as follows:


Where;

V is in cubic feet

P1 and P2 (psig)

T is minutes

The 1.25 multiplier corrects leakage to normal system pressure, allowing for reduced leakage with falling system pressure. Again, leakage of greater than 10% indicates that the system can likely be improved. These tests should be carried out quarterly as part of a regular leak detection and repair program.

 

Leak Detection

Since air leaks are almost impossible to see, other methods must be used to locate them. The best way to detect leaks is to use an ultrasonic acoustic detector, which can recognize the high frequency hissing sounds associated with air leaks. These portable units consist of directional microphones, amplifiers, and audio filters, and usually have either visual indicators or earphones to detect leaks. A simpler method is to apply soapy water with a paint brush to suspect areas. Although reliable, this method can be time consuming.

How to Fix Leaks?

Leaks occur most often at joints and connections. Stopping leaks can be as simple as tightening a connection or as complex as replacing faulty equipment such as couplings, fittings, pipe sections, hoses, joints, drains, and traps. In many cases leaks are caused by bad or improperly applied thread sealant. Select high quality fittings, disconnects, hose, tubing, and install them properly with appropriate thread sealant.

Non-operating equipment can be an additional source of leaks. Equipment no longer in use should be isolated with a valve in the distribution system. Another way to reduce leaks is to lower the demand air pressure of the system. The lower the pressure differential across an orifice or leak, the lower the rate of flow, so reduced system pressure will result in reduced leakage rates. Stabilizing the system header pressure at its lowest practical range will minimize the leakage rate for the system. Once leaks have been repaired, the compressor control system should be re-evaluated to realize the total savings potential.

A Leak Prevention Program

A good leak prevention program will include the following components: identification (including tagging), tracking, repair, verification, and employee involvement. All facilities with compressed air systems should establish an aggressive leak program. A cross-cutting team involving decision-making representatives from production should be formed. A leak prevention program should be part of an overall program aimed at improving the performance of compressed air systems. Once the leaks are found and repaired, the system should be re-evaluated.

Follow Yemmak Quality on Social Media!

You can trust us because we don’t have to rely on others. We
are offering all manufacturing, assembling, testing and after sales services from
a single source by proven Yemmak quality! 

Follow Yemmak and keep up with us on social media to be
informed about our ongoing projects and the latest news!

Become a Member of Yem’Max!

Be aware of the latest developments with our corporate e-newsletter Yem'max! From current projects we have implemented to industry trends; You can reach all the news from in-house news to the information of our advanced technology machines with one step.

Subscribe
We use cookies in our website for technical purposes. To learn more about cookies, you can refer to Yemmak Cookie Policy.