Yem Fabrikalarında Karlılığı Arttırmanın Diğer Bir Yolu: Hava Kaçaklarının Tespiti

Yem Fabrikalarında Karlılığı Arttırmanın Diğer Bir Yolu: Hava Kaçaklarının Tespiti

Yem Fabrikalarında Karlılığı Arttırmanın Diğer Bir Yolu: Hava Kaçaklarının Tespiti

Kaçaklar, endüstriyel basınçlı hava sisteminde israf edilen önemli bir enerji kaynağı olabilir ve bazen kompresör çıkışındaki havanın %20-30'unu boşa harcanabilir. Bakımı iyi yapılmamış tipik bir tesiste, toplam basınçlı hava üretim kapasitesinin %20'sine eşit bir kaçak miktarı olması muhtemeldir. Öte yandan, önceden belirlenen ve planlanan bir kaçak tespiti ve onarımı, kaçakları kompresör çıkışından itibaren %10'nun da altına indirebilmektedir. Boşa harcanan bir enerji kaynağı olmasının yanı sıra, kaçaklar diğer işletme kayıplarına da katkıda bulunabilir.Kaçaklar, sistem basıncında bir düşüşe neden olarak hava ile çalışan sistem ve elemanların daha az verimli çalışmasına neden olarak üretimi olumsuz etkileyebilir. Ek olarak, bu kaçaklar ekipmanı daha sık döngü yapmaya zorlayarak, neredeyse tüm sistem ekipmanlarının (kompresör paketinin kendisi de dahil) ömrünü kısaltır. Artan çalışma süresi ayrıca ek bakım gereksinimlerine ve planlanmamış arıza sürelerinin artmasına neden olabilir. Son olarak, sızıntılar gereksiz yere yüksek kapasitede kompresör kullanımına sebebiyet verebilir.

Kaçak sistemin herhangi bir kısmından gelebilirken, en yaygın kaçak bölgeleri şunlardır:

Kaplinler, hortumlar, borular ve bağlantı elemanları
 
Basınç regülatörleri
 
Kondenstoplar ve kapama vanaları
 
Boru bağlantıları, bağlantı sonlandırmaları ve dişli sızdırmazlık malzemeleri

 

Tahmini Kaçak Miktarları

 

Start/Stop kontrollerini kullanan kompresörler için, sistemdeki kaçak miktarını tahmin etmenin kolay bir yolu vardır. Bu yöntem, sistemde herhangi bir hava kullanımı olmadığında (havayla çalışan tüm son kullanım ekipmanları kapatıldığında) kompresörün çalıştırılmasını içerir. Kompresörün yüklenmesi ve boşaltılması için geçen ortalama süreyi belirlemek için bir dizi ölçüm yapılır. Hava kaçakları, kaçaklardan sızan havadan basınç düştüğü için kompresörün açılıp kapanmasına neden olacağından, kompresör yüklenir ve boşaltılır.

Toplam kaçak (yüzde) aşağıdaki gibi hesaplanabilir:

Kaçak miktarı %=  [(Tx100)/(T+t)]

Burada;

T= yüklü çalışma süresi (dakika)

t = yüksüz çalışma süresi (dakika)

 

Kaçak, kaybedilen kompresör kapasitesinin yüzdesi cinsinden ifade edilecektir. Bakımı iyi yapılmış bir sistemde kaçak nedeniyle kaybedilen yüzde,  %10'dan az olmalıdır. Bakımı iyi yapılmayan sistemlerde hava kapasitesi ve gücünde %20-30'a varan kayıplar olabilir. Hava kullanım ekipmanının hattı üzerinde bir basınçölçer varsa, diğer tip kontrol stratejilerine sahip sistemlerde de kaçak tahmin edilebilir.  Bu yöntem, hava akış yönündeki ikincil hava kullanım ekipmanları, hava ana hatları ve boru tesisatı (V, feet küp cinsinden) dahil olmak üzere toplam sistemin tahmini hacmini bilmemizi gerektirir. Ardından sistem başlatılır ve normal çalışma basıncına (P1) getirilir. Daha sonra, sistemin çalışma basıncının yaklaşık yarısından daha düşük bir (P2) basıncına düşmesi için geçen sürenin (T) ölçümleri yapılmalıdır.

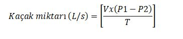
Kaçak miktarı aşağıdaki gibi hesaplanabilir:


Burada;

V: Hacim (L)

P1 ve P2: Basınç (bar)

T: Süre (s) dir.

Yine, %10'dan fazla sızıntı, sistemin muhtemelen iyileştirilebileceğini gösterir. Bu testler, düzenli bir kaçak tespit ve onarım programının bir parçası olarak üç ayda bir yapılmalıdır.

Kaçak Tespiti

Hava kaçaklarını görmek neredeyse imkânsız olduğundan, yerini tespit etmek için başka yöntemler kullanılmalıdır. Sızıntıları tespit etmenin en iyi yolu, hava kaçaklarıyla ilişkili yüksek frekanslı ‘’tıslama’’ seslerini tanıyabilen bir ultrasonik akustik dedektör kullanmaktır. Bu portatif üniteler yönlü mikrofonlardan, amplifikatörlerden ve ses filtrelerinden oluşur ve genellikle sızıntıları tespit etmek için görsel göstergelere veya kulaklıklara sahiptir. Daha basit bir yöntem, şüpheli alanlara sabunlu su uygulamaktır. Güvenilir olmasına rağmen, bu yöntem zaman alıcı olabilir.
 

Kaçaklar Nasıl Onarılabilir?

Kaçaklar en çok eklemlerde ve bağlantılarda meydana gelir. Sızıntıları durdurmak, bir bağlantıyı sıkmak kadar basit veya kaplinler, bağlantı parçaları, boru bölümleri, hortumlar, bağlantılar, drenajlar ve kondenstoplar gibi hatalı ekipmanı değiştirmek kadar karmaşık olabilir. Çoğu durumda kaçaklara kötü veya yanlış uygulanmış dişli sızdırmazlık maddeleri neden olur. Yüksek kaliteli bağlantı parçaları, bağlantı kesiciler, hortum, boru tesisatı seçimi ve bunları uygun dişli sızdırmazlık maddeleri ile düzgün bir şekilde monte edilmesi çok önemlidir.  Çalışmayan ekipman da ek bir kaçak kaynağı olabilir. Artık kullanılmayan ekipman, dağıtım sisteminde bir vana ile izole edilmelidir. Kaçakları azaltmanın bir başka yolu da sistemin hava basıncını düşürmektir. Bir orifis veya sızıntı boyunca basınç farkı ne kadar düşükse, akış hızı o kadar düşük olur, bu nedenle azalan sistem basıncı, kaçak oranlarının düşmesine neden olur. Sistem ana basıncını en düşük pratik aralıkta stabilize etmek, sistem için sızıntı oranını en aza indirecektir. Kaçaklar onarıldıktan sonra, toplam tasarruf potansiyelini gerçekleştirmek için kompresör kontrol sistemi yeniden değerlendirilmelidir.

Kaçak Önleme Programı

İyi bir kaçak önleme programı şu bileşenleri içerecektir: Tanımlama (etiketleme dahil), izleme, onarım, doğrulama ve çalışan katılımı. Basınçlı hava sistemleri olan tüm tesisler üzerinde ciddi bir şekilde kafa yorulmuş ve işletme personeline deklare edilmiş bir kaçak programı oluşturmalıdır. İşletmelerde bu konuyla ilgili karar alma yetkisi olan personelle birlikte diğer kalifiye personelleri de içeren bir ortak ekip kurulmalıdır. Kaçak önleme programı, basınçlı hava sistemlerinin performansını iyileştirmeyi amaçlayan genel bir programın parçası olmalıdır. Kaçaklar bulunup onarıldıktan sonra sistemin yeniden değerlendirilmesi unutulmamalıdır.

 

 

Yemmak Kalitesini Sosyal Medyada Takip Edin!

Bize güvenmeniz için biz başkalarına güvenmiyor; üretim, montaj,
test ve satış sonrası hizmetleri tek bir çatı altında gerçekleştiriyoruz. 

Yemmak kalitesini sosyal medya hesaplarından anlık olarak
takip etmek, güncel proje ve haberlerimizden bilgi sahibi olmak için bizi takip
edin!

Yem’Max’a Üye Olun!

Kurumsal e-bültenimiz Yem’max ile son gelişmelerden haberdar olun! Hayata geçirdiğimiz güncel projelerden, sektör trendlerine; şirket içi haberlerden ileri teknoloji makinelerimizin bilgilerine kadar bütün haberler siz de bir adımla ulaşabilirsiniz.

Abone Ol
Sitemizin, çalışması için çerezler kullanılmaktadır. Site üzerinde kullanılan çerezler hakkında detaylı bilgi almak için Çerez Politikası’nı incelemenizi rica ederiz.